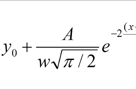
반응형 origin Physics 2011. 3. 11. Origin Gauss & Gaussian Fitting Gauss Fitting : Area version of Gaussian Function Gaussian Fitting : Amplitude version of Gaussian Function TECH 2010. 8. 16. Origin에서 Theta(θ) 입력하기 \g(q) TECH 2010. 5. 27. Origin에서 Angstrom(Å) 단위 입력하기 1. right click on the text label and select ‘properties’ 2. in the input area, try to enter ‘\(a197)’ (v8.0 or v8.5) or ‘\(197)’ (v7.5) 이전 1 다음 반응형